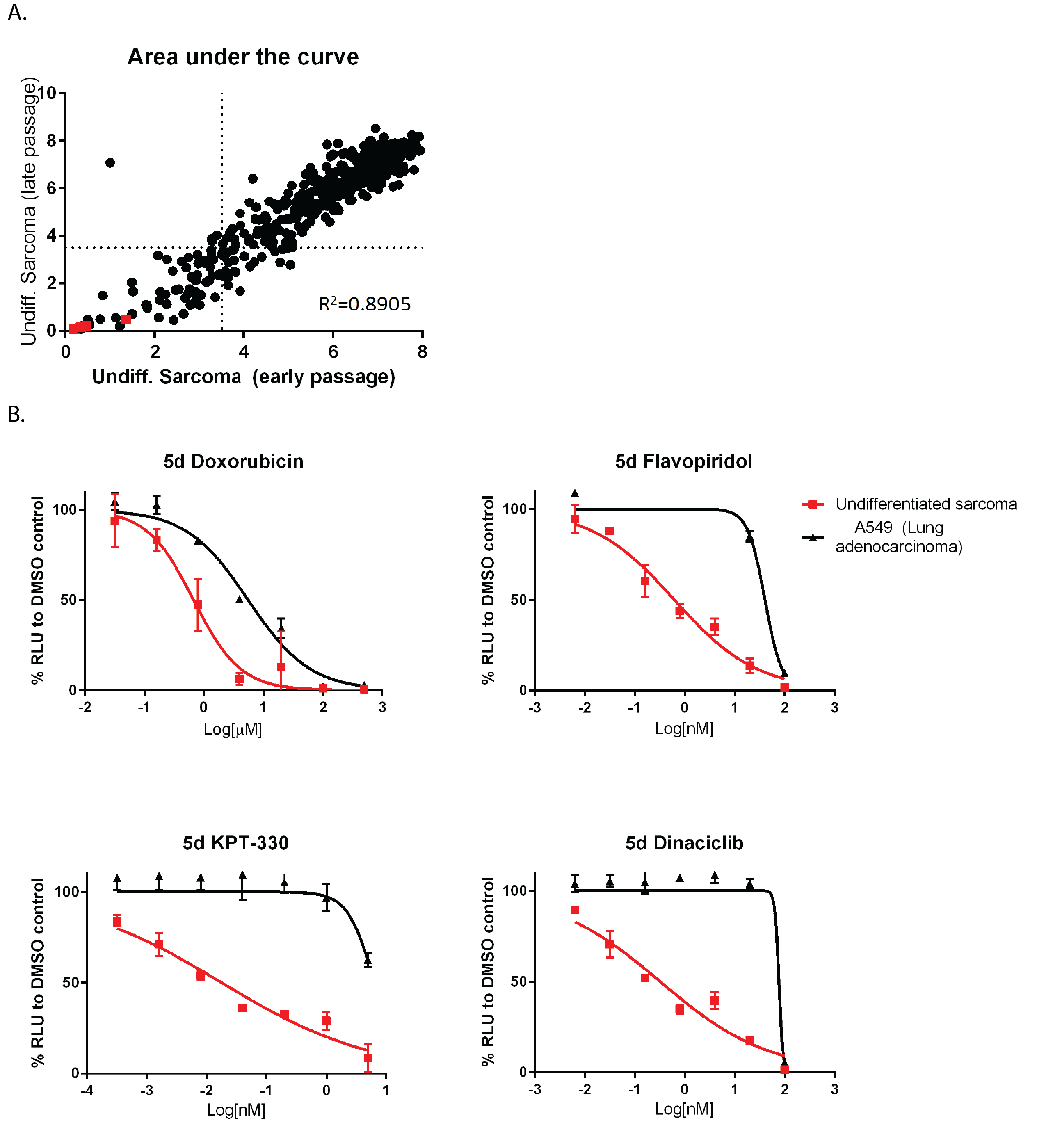
The intersection between nanomedicine and precision medicine depends on the understanding of cell pathway mechanisms. For patients with undifferentiated sarcomas, mechanisms are lacking. Undifferentiated sarcomas account for up to 20% of all soft tissue sarcomas and therapies for this type of cancer are ill defined with poor outcomes for those with metastatic disease. We have developed a novel undifferentiated sarcoma cell line from a patient with metastatic disease. This cell line is genomically silent but carries a number of potential novel fusions. Compound screens and a novel shRNA with paired seed control screen have been performed against over 400 drug targets showing dependencies to CDK1, CDK4, TOP2A and XPO1. Genomic editing using CRISPRs to knockout these targets is pending. We aim to validate these dependencies and subsequently determine if one of the novel fusions drives such dependencies. Further, we will look at historical samples to determine if these fusions are prevalent in this subtype of sarcomas. By doing so, we may be able to develop a biomarker for a subset of undifferentiated sarcomas with associated genomic and compound dependencies.
